Makléř: Aleš Mojžíšek
Telefon: 731 596 ...
E-mail: ales.mo ...
Zobrazit celý kontaktTelefon: 731 596 516
E-mail: ales.mojzisek@rkevropa.cz
Nemovitost nabízí
EVROPA realitní kancelář
Václavské nám. 806/62, 110 00 Praha 1
Zobrazit kontakt na RK
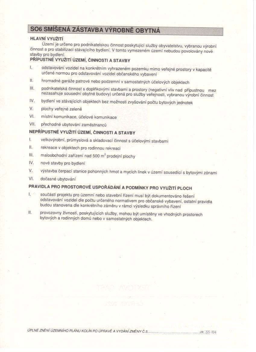
Ve výhradním zastoupení majitele Vám nabízíme hezký, rovinatý a velmi dobře přístupný komerční pozemek o velikosti 4.188 m2, který je v Územním plánu města Kolína po úpravě po vydání změny č. 5 z června 2022 vedený v kategorii S06 SMÍŠENÁ ZÁSTAVBA VÝROBNĚ OBYTNÁ. Pozemek se nachází v městské části Kolín Sendražice, ulice V Jezírkách a je přístupný z asfaltové komunikace patřící městu Kolín. Veškeré inženýrské sítě jsou v dosahu. Tento pozemek o velikosti 4.188 m2 se skládá ze dvou pozemků vedených v katastru nemovitostí pod parcelním číslem 513/10 o výměře 1.838 m2 a parcelním číslem 513/11 o výměře 2.350 m2, druh pozemku orná půda. Výhodou této nabídky je velmi výhodná poloha. Do průmyslové zóny Kolín Ovčáry je to pouhé 2 km, na nájezd na dálnici D11 necelých 11 km. Vzhledem k tomu, že se jedná o ojedinělou nabídku s výhodnou polohou a příznivou cenou (2.096,80 Kč/m2), tento pozemek ke koupi doporučuji. <a href="https://www.eurobydleni.cz/domy/rodinny-dum/liberec/obec-liberec/prodej/"><strong>Prodej rodinného domu Liberec</strong></a>
Prodej, Pozemek pro komerční využití, Kolín
Hledáte strategické místo pro své podnikání nebo bezpečné zhodnocení kapitálu? Nabízíme k prodeji exkluzivní komerční pozemek o celkové výměře 7.579…
Prodej komerčního pozemku, 5627 m2, Kolín
Nabízíme k prodeji zajímavý pozemek nacházející se ve Městě Kolín. Pozemek je o výměře 5627 m2 a má přístup přes zemědělskou půdu. Více informací u…
Prodej komerčního pozemku Kolín na Eurobydleni.cz